ČAS - Věstník 2026-3

| Kategorie: Firemní tiskovina  | Tento dokument chci!

Vydal: Úřad pro technickou normalizaci, metrologii a státní zkušebnictví

Strana 90 z 99

Jak získat tento dokument?






Poznámky redaktora
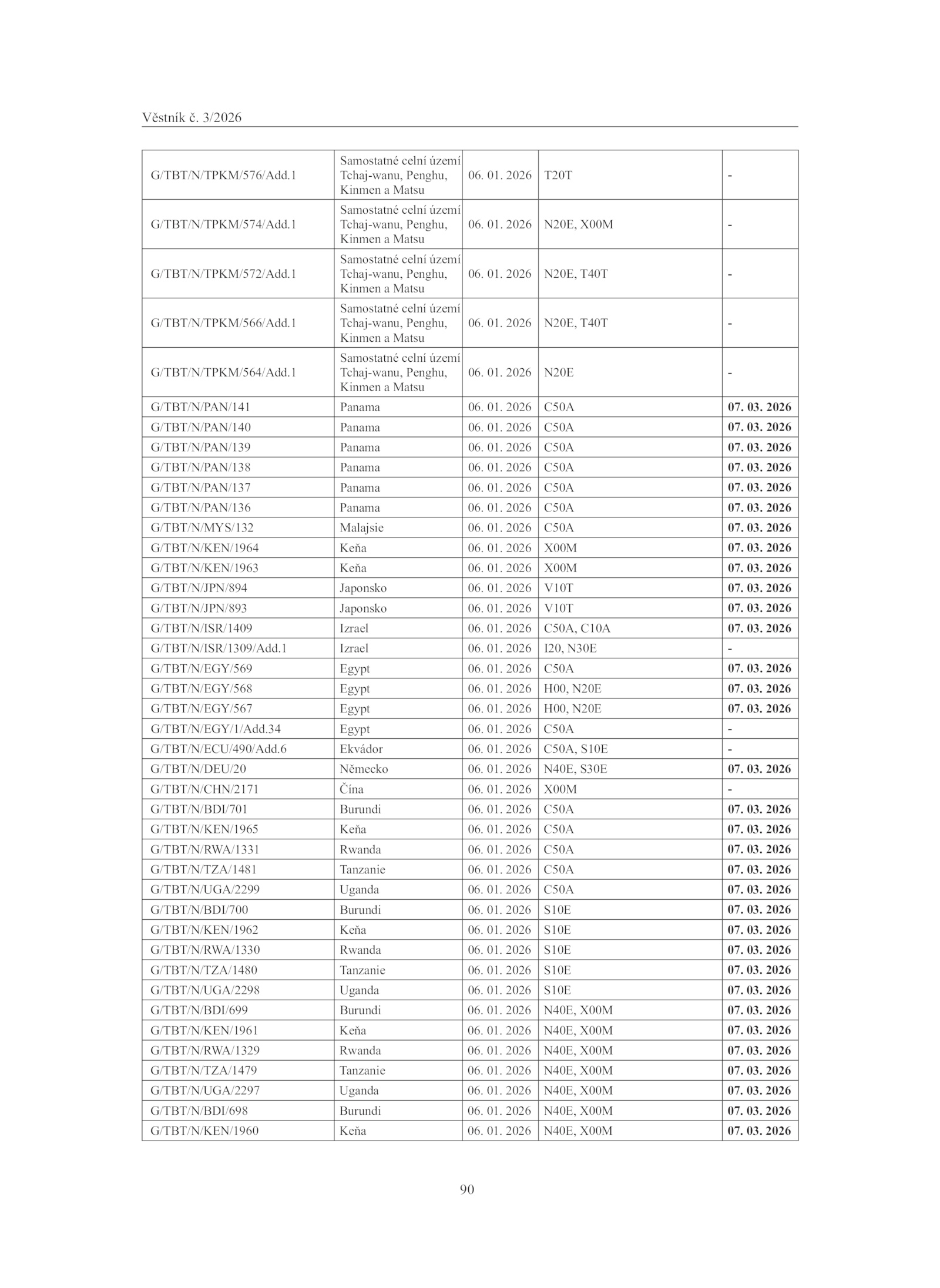
2026 N40E, X00M 07. 2026 C50A 07. 2026 X00M - G/TBT/N/BDI/701 Burundi 06. 01. 01. 01. 03. 01. 01. 01. 2026 C50A 07. 2026 G/TBT/N/JPN/894 Japonsko 06. 03. 2026 C50A, S10E - G/TBT/N/DEU/20 Německo 06. 03. 01. 03. 03. 01. 03. 2026 V10T 07. 01. 2026 C50A 07. 01. 2026 G/TBT/N/EGY/567 Egypt 06. 01. 03. 2026 C50A 07. 2026 G/TBT/N/KEN/1960 Keňa 06. 01. 03. 2026 G/TBT/N/KEN/1962 Keňa 06. 2026 C50A 07. 2026 C50A 07.1 Samostatné celní území Tchaj-wanu, Penghu, Kinmen Matsu 06. 01. 2026 N20E, T40T - G/TBT/N/TPKM/566/Add. 2026 G/TBT/N/KEN/1965 Keňa 06. 2026 C50A 07. 03. 01. 2026 C50A 07.Věstník 3/2026 90 G/TBT/N/TPKM/576/Add. 2026 G/TBT/N/PAN/139 Panama 06. 2026 G/TBT/N/UGA/2298 Uganda 06. 2026 H00, N20E 07. 2026 I20, N30E - G/TBT/N/EGY/569 Egypt 06. 2026 G/TBT/N/KEN/1963 Keňa 06. 2026 C50A 07. 2026 G/TBT/N/PAN/136 Panama 06. 01.6 Ekvádor 06. 03. 2026 G/TBT/N/KEN/1964 Keňa 06. 03. 01. 03. 01.1 Samostatné celní území Tchaj-wanu, Penghu, Kinmen Matsu 06. 2026 C50A, C10A 07. 2026 G/TBT/N/CHN/2171 Čína 06. 2026 G/TBT/N/ISR/1409 Izrael 06. 03. 03. 01. 01. 2026 G/TBT/N/EGY/568 Egypt 06. 2026 G/TBT/N/EGY/1/Add. 2026 N20E, X00M - G/TBT/N/TPKM/572/Add. 03. 01. 2026 N40E, S30E 07. 01. 2026 G/TBT/N/RWA/1330 Rwanda 06. 03. 01. 03. 03. 2026 C50A 07. 01. 2026 G/TBT/N/BDI/699 Burundi 06. 2026 G/TBT/N/KEN/1961 Keňa 06. 2026 G/TBT/N/TZA/1479 Tanzanie 06. 2026 N20E, T40T - G/TBT/N/TPKM/564/Add. 03. 2026 N40E, X00M 07. 2026 N20E - G/TBT/N/PAN/141 Panama 06. 03. 01. 01.02. 2026 N40E, X00M 07. 2026 G/TBT/N/JPN/893 Japonsko 06. 03. 2026 G/TBT/N/MYS/132 Malajsie 06. 03. 2026 G/TBT/N/UGA/2297 Uganda 06. 01. 2026 C50A 07.1 Samostatné celní území Tchaj-wanu, Penghu, Kinmen Matsu 06.indb 17. 2026 V10T 07. 2026 X00M 07. 2026 G/TBT/N/RWA/1331 Rwanda 06.1 Samostatné celní území Tchaj-wanu, Penghu, Kinmen Matsu 06. 2026 N40E, X00M 07. 2026 S10E 07. 01. 03. 2026 G/TBT/N/TZA/1480 Tanzanie 06. 2026 C50A - G/TBT/N/ECU/490/Add. 01. 03. 01. 01. 03.2026 10:37:09 . 2026 G/TBT/N/PAN/140 Panama 06. 01. 03.1 Samostatné celní území Tchaj-wanu, Penghu, Kinmen Matsu 06. 2026 S10E 07. 03. 2026 H00, N20E 07. 2026 G/TBT/N/BDI/700 Burundi 06.02. 2026 T20T - G/TBT/N/TPKM/574/Add. 01. 2026 N40E, X00M 07. 2026 G/TBT/N/TZA/1481 Tanzanie 06. 03.34 Egypt 06. 01. 01. 2026 X00M 07. 01. 03. 2026 G/TBT/N/BDI/698 Burundi 06. 2026 G/TBT/N/PAN/137 Panama 06. 2026 Věstník 3-26. 01.2026 10:37:09 17. 2026 S10E 07. 2026 G/TBT/N/PAN/138 Panama 06.indb 90 Věstník 3-26. 03. 01. 01. 2026 G/TBT/N/RWA/1329 Rwanda 06. 2026 N40E, X00M 07. 03. 2026 G/TBT/N/ISR/1309/Add. 2026 S10E 07. 03. 2026 N40E, X00M 07. 01. 2026 C50A 07. 01. 01. 2026 G/TBT/N/UGA/2299 Uganda 06. 2026 C50A 07. 2026 S10E 07. 01. 03.1 Izrael 06